The Taylor Series
Taylor Series is one of the biggest power series in any power series expansion and equations. To know the basic of Taylor Series is that we derivative of an element that we start with maybe an (a). Mostly we would start with 0 (Maclaurin's Series is also part of Taylor which start with 0) then we would get the Taylor Formula like this:
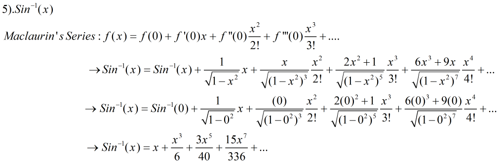
Maclaurin's Series:
Taylor's Series:
'
To understand more about both Maclaurin and Taylor Series I have put some example for you to read!! Hope you can understand them:
So I hope all of these example will make you understand the Series equation of Taylor Series (or Maclaurin's Series). Thank you for watching and good luck to you the viewer.

0 comments:
Post a Comment